导语
金沙官网-金沙集团官网 陈久喜课题组长期致力于过渡金属催化有机硼试剂参与的反应研究。近日,课题组在该研究领域取得了新进展:发展了钯催化商品化的邻氨基苯甲腈、芳香硼酸和芳香醛的三组分串联反应策略,实现了“一锅法”高效合成喹唑啉类化合物(DOI: 10.1021/acs.orglett.8b01070)。
陈久喜课题组简介
陈久喜课题组主要从事过渡金属催化有机硼试剂与腈的反应研究,致力于发展新颖的有机合成方法和合成策略来构建系列含氮杂环化合物。同时,课题组还开展了含氮杂环化合物和药物化学等方面的研究。欢迎热爱有机化学和药物化学研究的学生加入研究队伍。
陈久喜博士简介
陈久喜,温州大学瓯江特聘教授、硕士生导师。2004年毕业于温州师范金沙官网 化学系(现金沙官网-金沙集团官网 ),2007获温州大学硕士学位,2014年获浙江工业大学博士学位。2007年9月至今就职于温州大学,现任金沙官网-金沙集团官网 副院长。至今已在Org. Lett., Chem. Commun., J. Org. Chem., Green Chem.等期刊上发表SCI论文80余篇,并受邀担任多个期刊的审稿人。授权发明专利30余项,获浙江省科学技术奖2项。
前沿科研成果
钯催化的三组分串联反应策略实现“一锅法”合成喹唑啉衍生物
喹唑啉及其衍生物是一类重要的含氮杂环化合物,广泛存在于各种天然产物、药物以及配体分子中。因此,发展新的合成策略来构建含喹唑啉骨架的化合物具有十分重要的意义。众所周知,腈类化合物由于其碳氮三键的惰性,通常在金属有机反应中作为溶剂或配体。1999年,Larock报道了利用腈类底物合成碳环化合物的方法。随后不同课题组发展了各种腈类化合物参与的金属催化反应。该类反应的主要挑战是所得产物往往局限于酮类化合物,腈类底物的氮原子难以转入到目标产物中,降低了反应的原子经济性。为了实现腈类化合物高效转化,陈久喜课题组利用商品化的邻氨基苯甲腈、芳香硼酸和芳香醛的三组分串联反应策略“一锅法”高效合成了喹唑啉类化合物。
图1. “一锅法”合成喹唑啉类化合物
来源:Org. Lett.
作者对反应条件进行了一系列的筛选,最后确定在双乙酰丙酮钯为催化剂,5,5’-二甲基-2,2’-联吡啶为配体,三氟甲磺酸为添加剂,N,N-二甲基甲酰胺为溶剂的条件下,目标产物可达到最佳收率。然后作者在此最优条件下对反应底物进行了拓展,结果表明:各种取代的邻氨基苯腈、苯硼酸和苯甲醛都能以中等到良好的收率得到目标产物。
图2. 反应底物拓展
由于含溴或碘等卤代产物可以发生偶联反应,进而得到结构多样化的喹唑啉衍生物。因此,作者利用2-氨基-5-溴苯腈、2-氨基-3-溴苯腈和2-氨基-5-碘苯腈作为底物合成了一系列溴或碘取代的喹唑啉衍生物。
图3. 溴/碘代喹唑啉衍生物的合成
此外,作者通过X-ray晶体衍射进一步确证了产物5l的结构,如下图所示。
图4. 产物5l的结构
最后,为了阐明该反应的机理,作者设计了一系列对照实验。通过实验表明化合物6a或8a可能是该转化过程的中间体。
图5. 机理实验
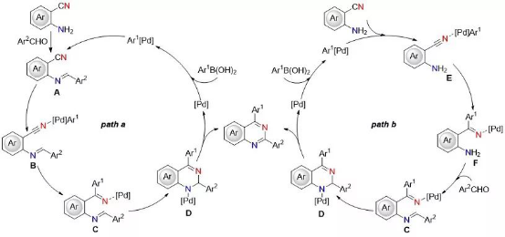
基于以上实验结果,作者提出了该反应可能经历的两条路径:(1)path a:首先芳基硼酸与钯催化剂通过转移金属化形成芳基钯物种,邻氨基苯甲腈与苯甲醛脱水缩合生成中间体A;然后A与金属钯配位形成中间体B,B再与芳基钯物种发生加成反应形成中间体C。(2)path b:芳基硼酸与钯催化剂先通过转移金属化形成芳基钯物种,然后与邻氨基苯甲腈中的氰基进行配位形成中间体E;接着芳基钯物种对氰基进行加成得到中间体F,F中的氨基再与芳香醛脱水缩合得到中间体C。最后,C经过分子内环合得到钯化合物D,再经过β-H消除得到目标产物喹唑啉衍生物。
图6. 可能的机理
该研究成果发表于Organic Letters(DOI:10.1021/acs.orglett.8b01070)。文章的第一作者是温州大学硕士生胡堃同学,通讯作者是陈久喜老师。该工作得到了国家自然科学基金、浙江省自然科学基金等经费支持。
论文第一作者:胡堃